Exhibit 4.1
PLACEMENT AGENT WARRANT
INTELLINETICS, INC.
Warrant No. PA6-[00__]
WARRANT TO PURCHASE COMMON STOCK
VOID
AFTER 5:00 P.M., EASTERN TIME,
ON THE EXPIRATION DATE
THIS WARRANT AND ANY SHARES ACQUIRED UPON THE EXERCISE OF THIS WARRANT HAVE NOT BEEN REGISTERED UNDER THE SECURITIES ACT OF 1933, AS AMENDED, OR APPLICABLE STATE SECURITIES LAWS, AND MAY NOT BE OFFERED FOR SALE, SOLD, PLEDGED, HYPOTHECATED, DONATED OR OTHERWISE TRANSFERRED IN THE ABSENCE OF SUCH REGISTRATION OR AN APPLICABLE EXEMPTION FROM SUCH REGISTRATION.
FOR VALUE RECEIVED, Intellinetics, Inc., a Nevada corporation (the “Company”), hereby agrees to sell upon the terms and on the conditions hereinafter set forth, at any time commencing on the date hereof but no later than 5:00 p.m., Eastern Time, on March 30, 2027 (the “Expiration Date”), to ________________, or its registered assigns (the “Holder”), under the terms as hereinafter set forth, [___________ (_______)] fully paid and non-assessable shares of the Company’s Common Stock, par value $0.001 per share (the “Common Stock”), at a purchase price per share of Four and Sixty-Two Hundredths U.S. dollars ($4.62) (the “Warrant Price”), pursuant to the terms and conditions set forth in this warrant (this “Warrant”). The number of shares of Common Stock issued upon exercise of this Warrant (“Warrant Shares”) and the Warrant Price are subject to adjustment in certain events as hereinafter set forth.
1. Exercise of Warrant.
(a) The Holder may exercise this Warrant at any time after issuance according to the terms and conditions set forth herein by delivering to the Company, at the address of the Company set forth in Section 10 prior to 5:00 p.m., Eastern Time, at any time prior to the Expiration Date (such date of exercise, the “Exercise Date”) (i) this Warrant, (ii) the Subscription Form attached hereto as Exhibit A (the “Subscription Form”) (having then been duly executed by the Holder), (iii) unless the Warrant is being exercised pursuant to a Cashless Exercise (as defined below), cash, a certified check or a bank draft in payment of the purchase price, in lawful money of the United States of America, for the number of Warrant Shares specified in the Subscription Form.
(b) This Warrant may be exercised in whole or in part so long as any exercise in part hereof would not involve the issuance of fractional Warrant Shares. If exercised in part, the Company shall deliver to the Holder a new Warrant, identical in form to this Warrant, in the name of the Holder, evidencing the right to purchase the number of Warrant Shares as to which this Warrant has not been exercised, which new Warrant shall be signed by the President or Chief Executive Officer of the Company. The term Warrant as used herein shall include any subsequent Warrant issued as provided herein.
| 1 |
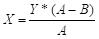
(c) Notwithstanding any provisions herein to the contrary, in lieu of exercising this Warrant in the manner set forth in Section 1(a), the Holder may elect to exercise this Warrant, or a portion hereof, and to pay for the Warrant Shares by way of cashless exercise (a “Cashless Exercise”). If the Holder wishes to effect a Cashless Exercise, the Holder shall deliver a notice indicating Holder’s desire to effect a Cashless Exercise duly executed by such Holder or by such Holder’s duly authorized attorney, at the principal office of the Company, or at such other office or agency as the Company may designate in writing prior to the date of such exercise, in which event the Company shall issue to the registered Holder the number of Warrant Shares computed according to the following equation:

; where
X = the number of Warrant Shares to be issued to the registered Holder.
Y = the Warrant Shares purchasable under this Warrant or, if only a portion of the Warrant is being exercised, the portion of the Warrant Shares being exercised.
A = the Fair Market Value (defined below) of one share of Common Stock on the Exercise Date.
B = the Exercise Price (as adjusted pursuant to the provisions of this Warrant).
For purposes of this Section 1(c), the “Fair Market Value” of one share of Common Stock on the Exercise Date shall have one of the following meanings:
(1) if the Common Stock is traded on a national securities exchange, the Fair Market Value shall be deemed to be the Closing Price on the trading day preceding the Exercise Date. For the purposes of this Warrant, “Closing Price” means the closing sale price of one share of Common Stock, as reported by Bloomberg; or
(2) if the Common Stock is traded over-the-counter, the Fair Market Value shall be deemed to be the Closing Price on the trading day immediately preceding the Exercise Date; or
(3) if neither (1) nor (2) is applicable, the Fair Market Value shall be at the commercially reasonable price per share which the Company could obtain on the Exercise Date from a willing buyer (not a current employee or director) for shares of Common Stock sold by the Company, from authorized but unissued shares, as determined in good faith by the Company’s Board of Directors.
For illustration purposes only, if this Warrant entitles the Holder the right to purchase 100,000 Warrant Shares and the Holder were to exercise this Warrant for 50,000 Warrant Shares at a time when the Exercise Price per share was $1.00 and the Fair Market Value of each share of Common Stock was $2.00 on the Exercise Date, as applicable, the cashless exercise calculation would be as follows:
X = 50,000 ($2.00-$1.00)
2.00
X = 25,000
Therefore, the number of Warrant Shares to be issued to the Holder after giving effect to the Cashless Exercise would be 25,000 Warrant Shares and the Company would issue the Holder a new Warrant to purchase 50,000 Warrant Shares, reflecting the portion of this Warrant not exercised by the Holder. For purposes of Rule 144 promulgated under the Securities Act of 1933, as amended (the “Securities Act”), it is intended, understood and acknowledged that the Warrant Shares issued in the cashless exercise transaction described pursuant to Section 1(c) shall be deemed to have been acquired by the Holder, and the holding period for the shares of Warrant Shares shall be deemed to have commenced, on the date of the Holder’s acquisition of the Warrant.
(d) No fractional Warrant Shares or scrip representing fractional Warrant Shares shall be issued upon the exercise of this Warrant. The Company shall pay cash in lieu of such fractional Warrant Shares. The price of a fractional Warrant Share shall equal the product of (i) the Closing Price of the Common Stock on the exchange or market on which the Common Stock is then traded (if the Common Stock is not then publicly traded, then upon the fair market value per share of the Common Stock (as determined by the Company’s Board of Directors)), and (ii) the applicable fraction.
| 2 |
(e) In the event of any exercise of the rights represented by this Warrant, a certificate or certificates for Warrant Shares so purchased, registered in the name of the Holder on the stock transfer books of the Company, shall be delivered to the Holder within a reasonable time after such rights shall have been so exercised. The person or entity in whose name any certificate for Warrant Shares is issued upon exercise of the rights represented by this Warrant shall for all purposes be deemed to have become the holder of record of such Warrant Shares immediately prior to the close of business on the date on which the Warrant was surrendered and payment of the Warrant Price and any applicable taxes was made, irrespective of the date of delivery of such certificate, except that, if the date of such surrender and payment is a date when the stock transfer books of the Company are closed, such person shall be deemed to have become the holder of such shares at the opening of business on the next succeeding date on which the Company’s stock transfer books are open. Except as provided in Section 4 hereof, the Company shall pay any and all documentary stamp or similar issue payable in respect of the issue or delivery of Warrant Shares on exercise of this Warrant.
(f) The Company will not close its stockholder books or records in any manner which prevents the timely exercise of this Warrant, pursuant to the terms hereof.
2. Disposition of Warrant Shares and Warrant.
(a) The Holder hereby acknowledges that: (i) this Warrant and any Warrant Shares purchased pursuant hereto are not being registered (A) under the Securities Act on the ground that the issuance of this Warrant is exempt from registration under Section 4(a)(2) of the Securities Act as not involving any public offering, or (B) under any applicable state securities law because the issuance of this Warrant does not involve any public offering; and (ii) that the Company’s reliance on the registration exemption under Section 4(a)(2) of the Securities Act and under applicable state securities laws is predicated in part on the representations hereby made to the Company by the Holder. The Holder represents and warrants that he, she or it is acquiring this Warrant and will acquire Warrant Shares for investment for his, her or its own account, with no present intention of dividing his, her or its participation with others or reselling or otherwise distributing this Warrant or Warrant Shares.
(b) The Holder hereby agrees that he, she or it will not sell, transfer, pledge or otherwise dispose of (collectively, “Transfer”) all or any part of this Warrant and/or Warrant Shares unless and until he, she or it shall have first given notice to the Company describing such Transfer and furnished to the Company (i) a statement from the transferee, whereby the transferee represents and warrants that he, she, or it is acquiring this Warrant and will acquire Warrant Shares, as applicable, for investment for his, her or its own account, with no present intention of dividing his, her or its participation with others or reselling or otherwise distributing this Warrant or Warrant Shares, as applicable, and either (ii) an opinion, reasonably satisfactory to counsel for the Company, of counsel (competent in securities matters, selected by the Holder and reasonably satisfactory to the Company) to the effect that the proposed Transfer may be made without registration under the Securities Act and without registration or qualification under any state law, or (iii) an interpretative letter from the U.S. Securities and Exchange Commission to the effect that no enforcement action will be recommended if the proposed sale or transfer is made without registration under the Act.
(c) If, at the time of issuance of Warrant Shares, no registration statement is in effect with respect to such shares under applicable provisions of the Act, the Company may, at its election, require that (i) the Holder provide written reconfirmation of the Holder’s investment intent to the Company, and (ii) any stock certificate evidencing Warrant Shares shall bear legends reading substantially as follows:
“THE SALE, TRANSFER, PLEDGE OR OTHER DISPOSITION OF THE SHARES REPRESENTED BY THIS CERTIFICATE IS SUBJECT TO CERTAIN RESTRICTIONS SET FORTH IN THE WARRANT PURSUANT TO WHICH THESE SHARES WERE PURCHASED FROM THE COMPANY. COPIES OF SUCH RESTRICTIONS ARE ON FILE AT THE PRINCIPAL OFFICES OF THE COMPANY. NO TRANSFER OF SUCH SHARES OR OF THIS CERTIFICATE (OR OF ANY SHARES OR OTHER SECURITIES (OR CERTIFICATES THEREFOR) ISSUED IN EXCHANGE FOR OR IN RESPECT OF SUCH SHARES) SHALL BE EFFECTIVE UNLESS AND UNTIL THE TERMS AND CONDITIONS SET FORTH IN THE WARRANT HAVE BEEN COMPLIED WITH.”
“THE SHARES REPRESENTED BY THIS CERTIFICATE HAVE NOT BEEN REGISTERED UNDER THE SECURITIES ACT OF 1933, AND MAY NOT BE SOLD, TRANSFERRED, PLEDGED OR OTHERWISE DISPOSED OF IN THE ABSENCE OF AN EFFECTIVE REGISTRATION STATEMENT UNDER THE SECURITIES ACT OF 1933 (THE “ACT”) OR AN OPINION OF COUNSEL SATISFACTORY TO THE ISSUER OF THIS CERTIFICATE THAT REGISTRATION IS NOT REQUIRED UNDER THE ACT.”
| 3 |
In addition, so long as the foregoing legend may remain on any stock certificate evidencing Warrant Shares, the Company may maintain appropriate “stop transfer” orders with respect to such certificates and the shares represented thereby on its books and records and with those to whom it may delegate registrar and transfer functions.
3. Reservation of Shares. The Company hereby agrees that at all times there shall be reserved for issuance upon the exercise of this Warrant such number of shares of the Common Stock as shall be required for issuance upon exercise of this Warrant. The Company further agrees that all Warrant Shares will be duly authorized and will, upon issuance and payment of the exercise price therefor, be validly issued, fully paid and non-assessable, free from all taxes, liens, charges and encumbrances with respect to the issuance thereof other than taxes, if any, in respect of any transfer occurring contemporaneously with such issuance and other than transfer restrictions imposed by federal and state securities laws.
Except and to the extent as waived or consented to by the Holder, the Company shall not by any action, including, without limitation, amending its certificate or articles of incorporation or through any reorganization, transfer of assets, consolidation, merger, dissolution, issue or sale of securities or any other voluntary action, avoid or seek to avoid the observance or performance of any of the terms of this Warrant, but will at all times in good faith assist in the carrying out of all such terms and in the taking of all such actions as may be necessary or appropriate to protect the rights of Holder as set forth in this Warrant. Without limiting the generality of the foregoing, the Company will (a) not increase the par value of any Warrant Shares above the amount payable therefor upon such exercise immediately prior to such increase in par value, (b) take all such action as may be necessary or appropriate in order that the Company may validly and legally issue fully paid and non-assessable Warrant Shares upon the exercise of this Warrant, and (c) use commercially reasonable efforts to obtain all such authorizations, exemptions or consents from any public regulatory body having jurisdiction thereof as may be necessary to enable the Company to perform its obligations under this Warrant.
Before taking any action which would result in an adjustment in the number of Warrant Shares for which this Warrant is exercisable or in the Exercise Price, the Company shall obtain all such authorizations or exemptions thereof, or consents thereto, as may be necessary from any public regulatory body or bodies having jurisdiction thereof.
4. Exchange, Transfer or Assignment of Warrant. Subject to Section 2, this Warrant is exchangeable, without expense, at the option of the Holder, upon presentation and surrender hereof to the Company or at the office of its stock transfer agent, if any, for other Warrants of the Company (“Warrants”) of different denominations, entitling the Holder or Holders thereof to purchase in the aggregate the same number of Warrant Shares purchasable hereunder. Subject to Section 2, upon surrender of this Warrant to the Company or at the office of its stock transfer agent, if any, together with (a) the Assignment Form attached hereto as Exhibit B (the “Assignment Form”) duly executed, (b) an opinion of counsel to the Holder (if required by the Company), in a form reasonably acceptable to the Company, that registration under the Securities Act is not required, and (c) funds sufficient to pay any transfer tax, the Company shall, without charge, execute and deliver a new Warrant in the name of the assignee named in the Assignment Form and this Warrant shall promptly be canceled. Subject to Section 2, this Warrant may be divided or combined with other Warrants that carry the same rights upon presentation hereof at the office of the Company or at the office of its stock transfer agent, if any, together with a written notice specifying the names and denominations in which new Warrants are to be issued and signed by the Holder hereof.
5. Capital Adjustments. This Warrant is subject to the following further provisions:
(a) Recapitalization, Reclassification and Succession. If any recapitalization of the Company or reclassification of its Common Stock or any merger or consolidation of the Company into or with a corporation or other business entity, or the sale or transfer of all or substantially all of the Company’s assets or of any successor corporation’s assets to any other corporation or business entity (any such corporation or other business entity being included within the meaning of the term “successor corporation”) shall be effected, at any time while this Warrant remains outstanding and unexpired, then, as a condition of such recapitalization, reclassification, merger, consolidation, sale or transfer, lawful and adequate provision shall be made whereby the Holder of this Warrant thereafter shall have the right to receive upon the exercise hereof as provided in Section 1 and in lieu of the Warrant Shares immediately theretofore issuable upon the exercise of this Warrant, such shares of capital stock, securities or other property as may be issued or payable with respect to or in exchange for the number of outstanding shares of Common Stock equal to the number of Warrant Shares immediately theretofore issuable upon the exercise of this Warrant had such recapitalization, reclassification, merger, consolidation, sale or transfer not taken place, and in each such case, the terms of this Warrant shall be applicable to the shares of stock or other securities or property receivable upon the exercise of this Warrant after such consummation.
| 4 |
(b) Subdivision or Combination of Shares. If the Company at any time while this Warrant remains outstanding and unexpired shall subdivide or combine its Common Stock, the number of Warrant Shares purchasable upon exercise of this Warrant shall be proportionately adjusted.
(c) Stock Dividends and Distributions. If the Company at any time while this Warrant is outstanding and unexpired shall issue or pay the holders of its Common Stock, or take a record of the holders of its Common Stock for the purpose of entitling them to receive, a dividend payable in, or other distribution of, Common Stock, then the number of Warrant Shares purchasable upon exercise of this Warrant shall be adjusted to the number of shares of Common Stock that Holder would have owned immediately following such action had this Warrant been exercised immediately prior thereto.
(d) Price Adjustments. Whenever the number of Warrant Shares purchasable upon exercise of this Warrant is adjusted pursuant to Sections 5(b), 5(c) or 5(d), the then applicable Warrant Price shall be proportionately adjusted.
(e) Certain Shares Excluded. The number of shares of Common Stock outstanding at any given time for purposes of the adjustments set forth in this Section 5 shall exclude any shares then directly or indirectly held in the treasury of the Company.
(f) Deferral and Cumulation of De Minimis Adjustments. The Company shall not be required to make any adjustment pursuant to this Section 5 if the amount of such adjustment would be less than one percent (1%) of the Warrant Price in effect immediately before the event that would otherwise have given rise to such adjustment. In such case, however, any adjustment that would otherwise have been required to be made shall be made at the time of and together with the next subsequent adjustment which, together with any adjustment or adjustments so carried forward, shall amount to not less than one percent (1%) of the Warrant Price in effect immediately before the event giving rise to such next subsequent adjustment. All calculations under this Section 5 shall be made to the nearest cent or to the nearest one-hundredth of a share, as the case may be, but in no event shall the Company be obligated to issue fractional Warrant Shares or fractional portions of any securities upon the exercise of the Warrant.
(g) Duration of Adjustment. Following each computation or readjustment as provided in this Section 5, the new adjusted Warrant Price and number of Warrant Shares purchasable upon exercise of this Warrant shall remain in effect until a further computation or readjustment thereof is required.
(h) Notwithstanding any other provision, the Company shall have the right to increase the number of authorized shares and outstanding shares without the Holder receiving any additional Warrant or Warrant Shares as a result thereof.
| 5 |
6. Notice to Holders.
(a) Notice of Record Date. In case:
(i) the Company shall take a record of the holders of its Common Stock (or other stock or securities at the time receivable upon the exercise of this Warrant) for the purpose of entitling them to receive any dividend (other than a cash dividend payable out of earned surplus of the Company) or other distribution, or any right to subscribe for or purchase any shares of stock of any class or any other securities, or to receive any other right;
(ii) of any capital reorganization of the Company, any reclassification of the capital stock of the Company, any consolidation with or merger of the Company into another corporation, or any conveyance of all or substantially all of the assets of the Company to another corporation; or
(iii) of any voluntary dissolution, liquidation or winding-up of the Company;
then, and in each such case, the Company will mail or cause to be mailed to the Holder hereof at the time outstanding a notice specifying, as the case may be, (i) the date on which a record is to be taken for the purpose of such dividend, distribution or right, and stating the amount and character of such dividend, distribution or right, or (ii) the date on which such reorganization, reclassification, consolidation, merger, conveyance, dissolution, liquidation or winding-up is to take place, and the time, if any, is to be fixed, as of which the holders of record of Common Stock (or such stock or securities at the time receivable upon the exercise of this Warrant) shall be entitled to exchange their shares of Common Stock (or such other stock or securities) for securities or other property deliverable upon such reorganization, reclassification, consolidation, merger, conveyance, dissolution or winding-up. Such notice shall be mailed at least ten (10) calendar days prior to the record date therein specified, or if no record date shall have been specified therein, at least ten (10) days prior to such specified date.
(b) Certificate of Adjustment. Whenever any adjustment shall be made pursuant to Section 5 hereof, the Company shall promptly make a certificate signed by its Chairman, Chief Executive Officer, President, Vice President, Chief Financial Officer or Treasurer, setting forth in reasonable detail the event requiring the adjustment, the amount of the adjustment, the method by which such adjustment was calculated and the Warrant Price and number of Warrant Shares purchasable upon exercise of this Warrant after giving effect to such adjustment, and shall promptly cause copies of such certificates to be mailed (by first class mail, postage prepaid) to the Holder of this Warrant.
7. Loss, Theft, Destruction or Mutilation. Upon receipt by the Company of evidence satisfactory to it, in the exercise of its reasonable discretion, of the ownership and the loss, theft, destruction or mutilation of this Warrant and, in the case of loss, theft or destruction, of indemnity reasonably satisfactory to the Company and, in the case of mutilation, upon surrender and cancellation thereof, the Company will execute and deliver in lieu thereof, without expense to the Holder, a new Warrant of like tenor dated the date hereof.
8. Warrant Holder Not a Stockholder. The Holder of this Warrant, as such, shall not be entitled by reason of this Warrant to any rights whatsoever as a stockholder of the Company, including but not limited to voting rights. No provision hereof, in the absence of any affirmative action by Holder to exercise this Warrant to purchase Warrant Shares, and no enumeration herein of the rights or privileges of Holder, shall give rise to any liability of Holder for the purchase price of any Common Stock or as a stockholder of the Company, whether such liability is asserted by the Company or by creditors of the Company.
9. Registration Rights. The Warrant Shares are entitled to the registration rights pursuant to the Registration Rights Agreement, dated April 1, 2022, by and among the Company and the purchaser signatories thereto.
| 6 |
10. Notices. Any notice provided for in this Warrant must be in writing and must be either personally delivered, mailed by first class mail (postage prepaid and return receipt requested), or sent by reputable overnight courier service (charges prepaid) to the recipient at the address below indicated:
If to the Company:
Intellinetics, Inc.
2190 Dividend Drive,
Columbus, OH 43228
Attention: James F. DeSocio
President and Chief Executive Officer
If to the Holder:
To the address of such Holder set forth on the books and records of the Company.
or such other address or to the attention of such other person as the recipient party shall have specified by prior written notice to the sending party. Any notice under this Warrant will be deemed to have been given (a) if personally delivered, upon such delivery, (b) if mailed, five days after deposit in the U.S. mail, or (c) if sent by reputable overnight courier service, one business day after such service acknowledges receipt of the notice.
11. Choice of Law. THIS WARRANT IS ISSUED UNDER AND SHALL FOR ALL PURPOSES BE GOVERNED BY AND CONSTRUED IN ACCORDANCE WITH THE LAWS OF THE STATE OF OHIO, WITHOUT GIVING EFFECT TO ITS CONFLICTS OF LAW RULES.
12. Submission to Jurisdiction. EACH OF THE HOLDER AND THE COMPANY SUBMITS TO THE JURISDICTION OF ANY STATE OR FEDERAL COURT SITTING IN THE COUNTY OF FRANKLIN, STATE OF OHIO, IN ANY ACTION OR PROCEEDING ARISING OUT OF OR RELATING TO THIS WARRANT AND AGREES THAT ALL CLAIMS IN RESPECT OF THE ACTION OR PROCEEDING MAY BE HEARD AND DETERMINED IN ANY SUCH COURT. EACH OF THE HOLDER AND THE COMPANY ALSO AGREE NOT TO BRING ANY ACTION OR PROCEEDING ARISING OUT OF OR RELATING TO THIS WARRANT IN ANY OTHER COURT. EACH OF THE PARTIES WAIVES ANY DEFENSE OF INCONVENIENT FORUM TO THE MAINTENANCE OF ANY ACTION OR PROCEEDING SO BROUGHT AND WAIVES ANY BOND, SURETY, OR OTHER SECURITY THAT MIGHT BE REQUIRED OF ANY OTHER PARTY WITH RESPECT THERETO.
13. Warrant Register. The Company shall register this Warrant, upon records to be maintained by the Company for that purpose (the “Warrant Register”), in the name of the record Holder hereof from time to time. The Company may deem and treat the registered Holder of this Warrant as the absolute owner hereof for the purpose of any exercise hereof or any distribution to the Holder, and for all other purposes, absent actual notice to the contrary.
14. Miscellaneous.
(a) Remedies. Holder, in addition to being entitled to exercise all rights granted by law, including recovery of damages, will be entitled to specific performance of its rights under this Warrant. The Company agrees that monetary damages would not be adequate compensation for any loss incurred by reason of a breach by it of the provisions of this Warrant and hereby agrees to waive and not to assert the defense in any action for specific performance that a remedy at law would be adequate.
(b) Successors and Assigns. Subject to applicable securities laws, this Warrant and the rights and obligations evidenced hereby shall inure to the benefit of and be binding upon the successors of the Company and the successors and permitted assigns of Holder. The provisions of this Warrant are intended to be for the benefit of all Holders from time to time of this Warrant and shall be enforceable by any such Holder or holder of Warrant Shares.
(c) Amendment. This Warrant may be modified or amended or the provisions hereof waived with the written consent of the Company and the Holder.
(d) Severability. Wherever possible, each provision of this Warrant shall be interpreted in such manner as to be effective and valid under applicable law, but if any provision of this Warrant shall be prohibited by or invalid under applicable law, such provision shall be ineffective to the extent of such prohibition or invalidity, without invalidating the remainder of such provisions or the remaining provisions of this Warrant.
[signature page follows]
| 7 |
IN WITNESS WHEREOF, the Company has duly caused this Warrant to be signed on its behalf, in its corporate name and by a duly authorized officer, as of this 1st day of April, 2022.
| INTELLINETICS, INC. | ||
| By: | ||
| James F. DeSocio | ||
| President and Chief Executive Officer | ||
| 8 |
EXHIBIT A
SUBSCRIPTION FORM
Intellinetics, Inc.
2190 Dividend Drive,
Columbus, OH 43228
Attention: President and Chief Executive Officer
| 1) | The undersigned hereby elects to purchase ______________ Warrant Shares of Intellinetics, Inc., a Nevada corporation, pursuant to the terms of the attached Warrant to Purchase Common Stock, and tenders herewith payment of the exercise price in full, together with all applicable transfer taxes, if any. |
| 2) | Payment shall take the form of (check applicable box): |
☐ in lawful money of the United States;
☐ the cancellation of __________ Warrant Shares in order to exercise this Warrant with respect to ____________ Warrant Shares (using a Fair Market Value of $______ for this calculation), in accordance with the formula and procedure set forth in Section 1(c) of the Warrant; or
☐ the cancellation of such number of Warrant Shares as is necessary, in accordance with the formula and procedure set forth in Section 1(c) of the Warrant, to exercise this Warrant with respect to the maximum number of Warrant Shares purchasable pursuant to a Cashless Exercise.
| 3) | Please issue a certificate or certificates representing said Warrant Shares in the name of the undersigned or in such other name as is specified below: |
The Warrant Shares shall be delivered to the following DWAC Account Number, if permitted, or by physical delivery of a certificate to:
| 4) | If such number of Warrant Shares shall not be all the shares receivable upon exercise of the attached Warrant, the undersigned requests that a new Warrant for the balance of the shares covered by the attached Warrant be registered in the name of, and delivered to: |
| 5) | In lieu of receipt of a fractional share of Common Stock, the undersigned will receive a check representing payment therefor. |
| Dated: | |||
| PRINT WARRANT HOLDER NAME | |||
| Name: | |||
| Title: | |||
| Witness: | |||
| A-1 |
EXHIBIT B
ASSIGNMENT FORM
Intellinetics, Inc.
2190 Dividend Drive,
Columbus, OH 43228
Attention: President and Chief Executive Officer
FOR VALUE RECEIVED, hereby sells, assigns and transfers unto
(Please print assignee’s name, _____________________________________________ address and Social Security/Tax Identification Number)
_____________________________________________
_____________________________________________
_____________________________________________
the right to purchase shares of common stock, par value $0.001 per share, of Intellinetics, Inc., a Nevada corporation (the “Company”), represented by this Warrant to the extent of shares as to which such right is exercisable and does hereby irrevocably constitute and appoint ____________________________, Attorney, to transfer the same on the books of the Company with full power of substitution in the premises.
| Dated: | |||
| PRINT WARRANT HOLDER NAME | |||
| Name: | |||
| Title: | |||
| Witness: | |||
| B-1 |