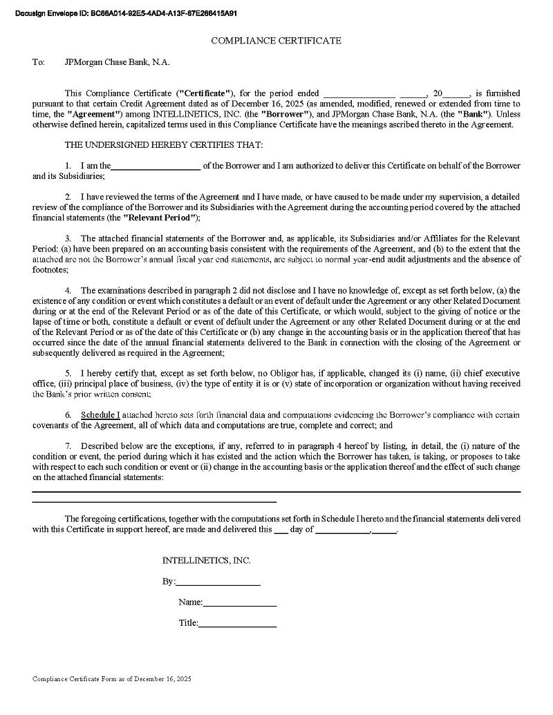
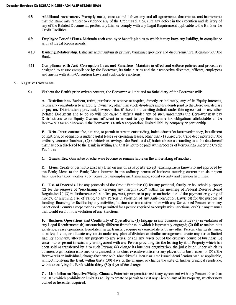
Exhibit 10.25